Napok óta hangos a volt Jugoszlávia utódállamainak médiatere attól a, diplomáciában csak “non-paper” dokumentumnak nevezett anyagtól, amelyet Janez Janša szlovén miniszterelnök küldött Brüsszelbe. Állítólag a dokumentum titkos megállapodásokon alapszik, a horvát Jutarnji List pedig szlovéniai forrásaira hivatkozva azt írja, hogy a határmódosítási szándék mögött Aleksandar Vučić szerb köztársasági elnök és Orbán Viktor magyar miniszterelnök állnak.

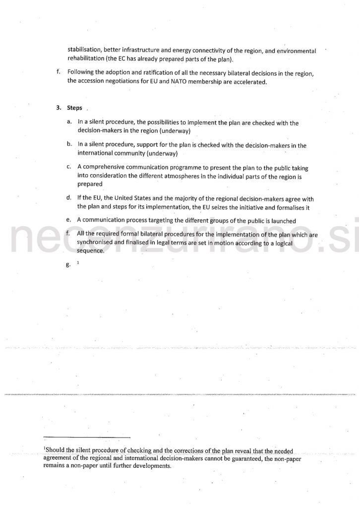
A dokumentumokat egyébként az Európai Tanács elnökének, Charles Michelnek adták át személyesen, az pedig nem mást tartalmaz, mint a balkáni országok határainak átrendezési tervezetét, a következőképpen:

  1. Koszovó északi, szerb többségű területei széles körű autonómiát kapnának Dél-Tirolhoz hasonlóan
  2. Ennek folyományaként Szerbia nem ellenezné az albán többségű Koszovó egyesülését Albániával. Észak-Macedónia és Montenegró albán többségű részei is Nagy-Albániához tartoznának.
  3. Szerbia megkapná a szerb többségű boszniai Szerb Köztársaságot, vagy ez a rész is Dél-Tirol-típusú autonómiában részesülne, illetve ugyanez vonatkozna a horvát többségű Nyugat-Hercegovinára is – vagy autonómia vagy Horvátországhoz csatolás.

Az egyelőre nem világos, hogy Janša miért csatlakozott ehhez a tervhez. A dokumentumot a szlovén necenzurirano.si magazin tette közzé. A napok óta tartó találgatásokra egyik ország kormánya sem reagált még hivatalosan. Bosnyák politikusok azonban azzal vádolják Janšát, hogy háborút szít a volt tagállamok között, írja az N1.

Az eredetileg Észak-Macedóniában kiszivárogtatott állítólagos határmódosítási tervezeten – mint látható – nincs semmiféle beavatkozás Észak-Vajdaság magyar többségű községeivel kapcsolatban, vagyis úgy tűnik, Orbán Viktor azt nem kezdeményezte.

A posztjugoszláv térség átalakítása az állítólagos Janša-javaslat alapján (Térkép: News1.mk)